Cara membaca tabel distribusi z.
Jika kamu sedang mencari artikel cara membaca tabel distribusi z terbaru, berarti kamu sudah berada di website yang tepat. Yuk langsung saja kita simak ulasan cara membaca tabel distribusi z berikut ini.
Tabel Distribusi Z Dan Cara Membacanya Kantong Ilmu From kanntongilmudunia.blogspot.com
Cara Membaca Tabel Z. Distribusi normal standar adalah distribusi normal yang telah ditransformasi sehingga distribusi normal tersebut memiliki rata-rata 0 dan varian 1. Z tabel Z α2 Z 0025 1960. Tabel distribusi F merupakan tabel bantuan jika menggunakan statistik uji F sedangkan tabel distribusi t digunakan untuk statistik uji tTulisan ini akan memberikan penjelasan cara membaca dan menggunakan Tabel distribusi F dan tabel distribusi t dalam pengujian hipotesis.
Cara membaca tabel z sebenarnya mudah sekali yaitu dengan cara melihat nilai z score apakah berada diluar kurve normal atau tidak.
Dari penelitian terhadap 150 orang laki-laki yang berumur 4060 tahun didapatkan rata-rata kadar kolesterol μ mereka 215 mg dan simpangan baku σ 45 mg. Berikut ini akan kami sajikan data tabel z normal standard. Tabel Distribusi F Salah satu bentuk struktur tabel F yang tersedia adalah sebagai berikut. Tariklah secara mendatar ke kiri membaris sehingga ketemu Z -19. Bentuk kurvanya simetris baik kiri dan kanan.
Source: informatikalogi.com
Dengan demikian nilai Z yang peluangnya sebesar 00250 adalah Z -19 -006 -196 lihat nomor 2 warna biru. Z tabel Z α2 Z 0025 1960. Transformasi x 68 ke z. Terdapat 2 jenis table z yang biasanya disediakan yaitu one tailed dan two tailed. Di video ini aku akan menjelaskan tentang cara mencari poin kritis atau nilai z tabel untuk alpha 1.
Dengan demikian nilai Z yang peluangnya sebesar 00250 adalah Z -19 -006 -196 lihat nomor 2 warna biru.
Untuk diketahui bahwa nilai Z α adalah tetap dan tidak berubah-ubah berapun jumlah sampel. Dari penelitian terhadap 150 orang laki-laki yang berumur 4060 tahun didapatkan rata-rata kadar kolesterol μ mereka 215 mg dan simpangan baku σ 45 mg. 004 008 -38 00001. Tariklah secara mendatar ke kiri membaris sehingga ketemu Z -19.
Source: soalujian-73.blogspot.com
Cara Membaca Tabel Z. Dengan demikian nilai Z yang peluangnya sebesar 00250 adalah Z -19 -006 -196 lihat nomor 2 warna biru. Jika kalian masih ada pertanyaan kalian dapat menul. Tabel Distribusi F Salah satu bentuk struktur tabel F yang tersedia adalah sebagai berikut.
Source: rumusstatistik.com
992020 Distribusi yang diketahui adalah distribusi normal sedangkan tabel z merupakan tabel distribusi z tabel transformasi z score. Transformasi x 68 ke z. Transformasi x 84 ke z. Baiklah kita lanjutkan dengan bagaimana membaca tabel normal Z sesuai dengan postingan diatas.
Source: slideshare.net
Safety How YouTube works Test new features Press Copyright Contact us Creators. About Press Copyright Contact us Creators Advertise Developers Terms Privacy Policy. 4122015 Tabel yang akan disajikan di bawah ini adalah tabel Z yang berdistribusi normal standar. Baiklah kita lanjutkan dengan bagaimana membaca tabel normal Z sesuai dengan postingan diatas.
Cara Membaca Tabel Z. Dalam membaca tabel distribusi normal nilai z -1 kita baca sebagai z 1 sehingga probablitasnya adalah 03413 Jadi probabilitas nilai z antara 0 sampai dengan -1 adalah 03413. Untuk diketahui bahwa nilai Z α adalah tetap dan tidak berubah-ubah berapun jumlah sampel. About Press Copyright Contact us Creators Advertise Developers Terms Privacy Policy.
Nilai z yang dicari adalah 19 0060 1960 Tabel titik kritis distribusi Z adalah sebagai berikut.
Tabel distribusi normal memiliki isi peluang dari nilai Z atau P Z z. Nilai z yang dicari adalah 19 0060 1960 Tabel titik kritis distribusi Z adalah sebagai berikut. Cara Membaca Tabel Z. Tabel Distribusi F Salah satu bentuk struktur tabel F yang tersedia adalah sebagai berikut. Cara Membaca Tabel Z.
Source: muhyidin.id
Cara Membaca Tabel Z. Nilai Z 0025 adalah 196 dan nilai Z 005 adalah 1645. Untuk diketahui bahwa nilai Z α adalah tetap dan tidak berubah-ubah berapun jumlah sampel. Oleh karena itu perlu dilakukan transformasi. Judul tabel biasanya memuat keterangan mengenai nilai probabilita dari tabel.
Transformasi x 68 ke z. Saya berikan contoh kasus seperti dibawah ini. Bentuk kurvanya simetris baik kiri dan kanan. Tabel z atau table distribusi normal memiliki ciri kurva yang simetris dimana nilai nialinya dianggap terdistribusi secara merata atau normal.
Berikut ini akan kami sajikan data tabel z normal standard.
Oleh karena itu perlu dilakukan transformasi. Cara membaca tabel z sebenarnya mudah sekali yaitu dengan cara melihat nilai z score apakah berada diluar kurve normal atau tidak. 9242018 Tutorial Statistika distribusi Normal dengan Tabel Z - Duration. Cara Membaca Tabel Z.
Source: slideshare.net
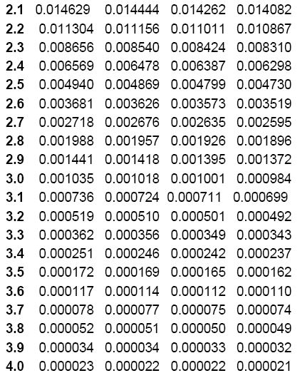
Tabel Z Tabel Distribusi Ztabel z dari 0 sampai 4 dan tabel z dari -4 sampai nol 88493 088686 088877 089065 089251 089435 089617 089796 089973 090147 13 090320 090490 090658 090824 090988 091149 091308 091466 091621 091774. Cari angka 00250 pada tabel Z. Baiklah kita lanjutkan dengan bagaimana membaca tabel normal Z sesuai dengan postingan diatas. Tabel Distribusi F Salah satu bentuk struktur tabel F yang tersedia adalah sebagai berikut.
Source: slideshare.net
Terdapat 2 jenis table z yang biasanya disediakan yaitu one tailed dan two tailed. Tariklah secara mendatar ke kiri membaris sehingga ketemu Z -19. Dengan menggunakan Tabel 1 maka nilai Z 0025 adalah nilai pada perpotongan α baris 002 dengan α kolom 0005 yaitu 196. 2172021 Tabel Z Distribusi normal standar yaitu distribusi normal yang sudah ditransformasi sampai distribusi normal tersebut mempunyai rata-rata 0 dan varian 1.
Source: soalujian-73.blogspot.com
Judul tabel biasanya memuat keterangan mengenai nilai probabilita dari tabel. About Press Copyright Contact us Creators Advertise Developers Terms Privacy Policy. Distribusi normal standar adalah distribusi normal yang telah ditransformasi sehingga distribusi normal tersebut memiliki rata-rata 0 dan varian 1. P68 X 84 P05 Z 15.
Berikut ini akan kami sajikan data tabel z normal standard.
Tabel F atau F tabel adalah tabel yang menyajikan nilai kritis dari distribusi F. Untuk diketahui bahwa nilai Z α adalah tetap dan tidak berubah-ubah berapun jumlah sampel. Transformasi x 68 ke z. Nilai z yang dicari adalah 19 0060 1960 Tabel titik kritis distribusi Z adalah sebagai berikut. 2172021 Tabel Z Distribusi normal standar yaitu distribusi normal yang sudah ditransformasi sampai distribusi normal tersebut mempunyai rata-rata 0 dan varian 1.
Source: slideshare.net
Transformasi x 84 ke z. Pojok Pendidikan 103545 views. Nilai Z tabel dapat diperoleh dari Tabel 1. Distribusi normal standar adalah distribusi normal yang telah ditransformasi sehingga distribusi normal tersebut memiliki rata-rata 0 dan varian 1. 2172021 Tabel Z Distribusi normal standar yaitu distribusi normal yang sudah ditransformasi sampai distribusi normal tersebut mempunyai rata-rata 0 dan varian 1.
Tabel Z Tabel Distribusi Ztabel z dari 0 sampai 4 dan tabel z dari -4 sampai nol 88493 088686 088877 089065 089251 089435 089617 089796 089973 090147 13 090320 090490 090658 090824 090988 091149 091308 091466 091621 091774.
Bentuk kurvanya simetris baik kiri dan kanan. Tabel distribusi normal memiliki isi peluang dari nilai Z atau P Z z. Cara Membaca Tabel Z. 9242018 Tutorial Statistika distribusi Normal dengan Tabel Z - Duration.
Source: soalujian-73.blogspot.com
Distribusi normal standar adalah distribusi normal yang telah ditransformasi sehingga distribusi normal tersebut memiliki rata-rata 0 dan varian 1. Tabel distribusi F merupakan tabel bantuan jika menggunakan statistik uji F sedangkan tabel distribusi t digunakan untuk statistik uji tTulisan ini akan memberikan penjelasan cara membaca dan menggunakan Tabel distribusi F dan tabel distribusi t dalam pengujian hipotesis. Transformasi x 68 ke z. About Press Copyright Contact us Creators Advertise Developers Terms Privacy Policy.
Source: slideshare.net
Dalam membaca tabel distribusi normal nilai z -1 kita baca sebagai z 1 sehingga probablitasnya adalah 03413 Jadi probabilitas nilai z antara 0 sampai dengan -1 adalah 03413. Dalam membaca tabel distribusi normal nilai z -1 kita baca sebagai z 1 sehingga probablitasnya adalah 03413 Jadi probabilitas nilai z antara 0 sampai dengan -1 adalah 03413. Tabel distribusi normal berisi peluang dari nilai Z atau PZ zSebagaimana kita ketahui bahwa nilai peluang akan selalu berada di. Dari penelitian terhadap 150 orang laki-laki yang berumur 4060 tahun didapatkan rata-rata kadar kolesterol μ mereka 215 mg dan simpangan baku σ 45 mg.
Source: bakingupforlosttime.blogspot.com
Dengan menggunakan Tabel 1 maka nilai Z 0025 adalah nilai pada perpotongan α baris 002 dengan α kolom 0005 yaitu 196. Cari angka 00250 pada tabel Z. Cara Membaca Tabel Z. Di video ini aku akan menjelaskan tentang cara mencari poin kritis atau nilai z tabel untuk alpha 1.
Bentuk kurvanya simetris baik kiri dan kanan.
Cara Membaca Tabel Z. Tabel Statistika 1 Tabel Sebaran Peluang Kumulatif Normal Z. Tariklah secara vertikal ke atas mengolom sehingga ketemu Z -006. Tabel distribusi normal memiliki isi peluang dari nilai Z atau P Z z. Dengan menggunakan Tabel 1 maka nilai Z 0025 adalah nilai pada perpotongan α baris 002 dengan α kolom 0005 yaitu 196.
Source: slideshare.net
Tariklah secara vertikal ke atas mengolom sehingga ketemu Z -006. Tabel Z Tabel Distribusi Ztabel z dari 0 sampai 4 dan tabel z dari -4 sampai nol 88493 088686 088877 089065 089251 089435 089617 089796 089973 090147 13 090320 090490 090658 090824 090988 091149 091308 091466 091621 091774. Cara membaca tabel z sebenarnya mudah sekali yaitu dengan cara melihat nilai z score apakah berada diluar kurve normal atau tidak. Saya berikan contoh kasus seperti dibawah ini. Tabel Z Distribusi Normal.
Tabel Z Tabel Distribusi Ztabel z dari 0 sampai 4 dan tabel z dari -4 sampai nol 88493 088686 088877 089065 089251 089435 089617 089796 089973 090147 13 090320 090490 090658 090824 090988 091149 091308 091466 091621 091774.
Jika kalian masih ada pertanyaan kalian dapat menul. Tabel z atau table distribusi normal memiliki ciri kurva yang simetris dimana nilai nialinya dianggap terdistribusi secara merata atau normal. 4122015 Tabel yang akan disajikan di bawah ini adalah tabel Z yang berdistribusi normal standar. About Press Copyright Contact us Creators Advertise Developers Terms Privacy Policy.
Source: steemit.com
Cara Membaca Tabel Z. Bentuk kurvanya simetris baik kiri dan kanan. Tariklah secara vertikal ke atas mengolom sehingga ketemu Z -006. F tabel dapat digunakan sebagai tabel uji F dimana nilai F statistik yang diperoleh dari uji F dibandingkan dengan nilai kritis yang ada di tabel uji F. 4122015 Tabel yang akan disajikan di bawah ini adalah tabel Z yang berdistribusi normal standar.
Source: slideshare.net
Nilai Z 0025 adalah 196 dan nilai Z 005 adalah 1645. Untuk menggunakan tabel uji F atau tabel distribusi F kamu memerlukan 3 nilai yakni. Transformasi x 68 ke z. 2172021 Tabel Z Distribusi normal standar yaitu distribusi normal yang sudah ditransformasi sampai distribusi normal tersebut mempunyai rata-rata 0 dan varian 1. Cari angka 00250 pada tabel Z.
Source: soalujian-73.blogspot.com
Saya berikan contoh kasus seperti dibawah ini. Nilai z yang dicari adalah 19 0060 1960 Tabel titik kritis distribusi Z adalah sebagai berikut. Cari angka 00250 pada tabel Z. Jika kalian masih ada pertanyaan kalian dapat menul. Tabel Z Distribusi Normal.
Situs ini adalah komunitas terbuka bagi pengguna untuk berbagi apa yang mereka cari di internet, semua konten atau gambar di situs web ini hanya untuk penggunaan pribadi, sangat dilarang untuk menggunakan artikel ini untuk tujuan komersial, jika Anda adalah penulisnya dan menemukan gambar ini dibagikan tanpa izin Anda, silakan ajukan laporan DMCA kepada Kami.
Jika Anda menemukan situs ini bagus, tolong dukung kami dengan membagikan postingan ini ke akun media sosial seperti Facebook, Instagram dan sebagainya atau bisa juga save halaman blog ini dengan judul cara membaca tabel distribusi z dengan menggunakan Ctrl + D untuk perangkat laptop dengan sistem operasi Windows atau Command + D untuk laptop dengan sistem operasi Apple. Jika Anda menggunakan smartphone, Anda juga dapat menggunakan menu laci dari browser yang Anda gunakan. Baik itu sistem operasi Windows, Mac, iOS, atau Android, Anda tetap dapat menandai situs web ini.





