Latihan soal eksponen dan logaritma.
Jika kamu sedang mencari artikel latihan soal eksponen dan logaritma terlengkap, berarti kamu telah berada di blog yang benar. Yuk langsung saja kita simak ulasan latihan soal eksponen dan logaritma berikut ini.
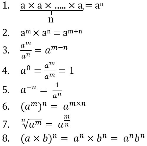
Contoh Soal Eksponen Kumpulan Soal Pelajaran 5 From soalujian-05.blogspot.com
Jika ingin mempelajari materi ini lebih dalam kamu bisa menyimak penjelasannya berikut. Materi yang perlu kamu siapkan untuk menghadapi UTBK salah satunya adalah yang berkaitan dengan eksponen dan logaritma. Dengan merasionalkan penyebut bentuk sederhana dari adalah. Jika af x ag x maka f x g x 3.
Bentuk pangkat bulat positif dari adalah.
Dengan merasionalkan penyebut bentuk sederhana dari adalah. Rumus Persamaan Eksponen. Pada bab ini yang akan dibahas adalah fungsi eksponen sederhana yakni fungsi eksponen dengan bentuk. Bentuk pangkat bulat positif dari adalah. Pertidaksamaan Logaritma Pengertian Rumus Dan Contohnya from passinggradecoid.
Source: ambisnotes.com
Soal dan pembahasan matematika logaritma 1 6 kumpulan soal dan pembahasan logaritma persamaan logaritma persamaan bentuk pangkat persamaan eksponen. 4 1 3 1 3 a b4 c 2 b 16 dan c 4. Matematikastudycenter-Kumpulan soal ujian nasional matematika SMA materi fungsi eksponen dan fungsi logaritma dari tahun 2007 hingga 2011 dan 2012 2013 2014 tercakup indikator menyelesaikan pertidaksamaan eksponen atau logaritma dan menyelesaikan masalah yang berkaitan dengan fungsi eksponen atau fungsi logaritma inversnya grafik persamaan dan. Maka nilai dari 8. Jika af x ap maka f x p 2.
4 1 3 1 3 a b4 c 2 b 16 dan c 4.
Dengan merasionalkan penyebut bentuk sederhana dari adalah. Selain itu Zenius juga akan menjelaskan bagaimana cara kita memahami setiap sifat-sifat logaritma dengan mudah. Diketahui a A. Jika h xf x h xg x maka.
Source: brainly.co.id
0 a 1 k. Jika af x ag x maka f x g x 3. Eksponen dan Logaritma SIMAK UI 14 KD1 18 Jika maka. Jika af x bf x maka f x 0 4.
Source: seputarbentuk.blogspot.com
Matematikastudycenter-Kumpulan soal ujian nasional matematika SMA materi fungsi eksponen dan fungsi logaritma dari tahun 2007 hingga 2011 dan 2012 2013 2014 tercakup indikator menyelesaikan pertidaksamaan eksponen atau logaritma dan menyelesaikan masalah yang berkaitan dengan fungsi eksponen atau fungsi logaritma inversnya grafik persamaan dan. 0 a 1 k. Eksponen dan Logaritma SIMAK UI 14 KD1 18 Jika maka. Soal Latihan Eksponen Dan LogaritmaBentuk a n disebuat sebagai bentuk eksponensial atau perpangkatan dengan a disebut basis atau bilangan pokok dan n disebut eksponen atau pangkat.
Source: soalujian-73.blogspot.com
Jika ingin mempelajari materi ini lebih dalam kamu bisa menyimak penjelasannya berikut. 0 a 1 k. Latihan Matematika Berlatih membuat kita lebih memahami. C h x 0 untuk f x.
Soal Latihan Eksponen Dan Logaritma. Rumus Persamaan Eksponen. 4 1 3 1 3 a b4 c 2 b 16 dan c 4. Jika af x ag x maka f x g x 3.
0 dan a k Real Langkah-langkah melukis grafik fungsi eksponen.
Pada bab ini yang akan dibahas adalah fungsi eksponen sederhana yakni fungsi eksponen dengan bentuk. Diketahui a A. 0 dan g x. Pelajari materi latihan soal dan pembahasan fungsi eksponen dan logaritma. Dengan merasionalkan penyebut bentuk sederhana dari adalah.
Source: soalujian-73.blogspot.com
0 dan g x. Pelajari materi latihan soal dan pembahasan fungsi eksponen dan logaritma. 0 dan a k Real Langkah-langkah melukis grafik fungsi eksponen. C 7 2 49. Nilai dari 2 log 3 2 log 6 2 log 8.
Nilai dari 2 log 3 2 log 6 2 log 8. Materi ini berisi persamaan dan pertidaksamaan eksponen serta logaritma. Soal Latihan Eksponen Dan Logaritma. Jika af x ap maka f x p 2.
1 PERSAMAAN DAN FUNGSI EKSPONEN SERTA LOGARITMA.
Pelajari materi latihan soal dan pembahasan fungsi eksponen dan logaritma. Dengan merasionalkan penyebut bentuk sederhana dari adalah. Eksponen dan Logaritma SIMAK UI 14 KD1 18 Jika maka. C 7 2 49.
Source: images2146.blogspot.com
Soal Latihan Eksponen Dan Logaritma. Bentuk pangkat bulat positif dari adalah. Jika af x ag x maka f x g x 3. Soal Latihan Eksponen Dan LogaritmaBentuk a n disebuat sebagai bentuk eksponensial atau perpangkatan dengan a disebut basis atau bilangan pokok dan n disebut eksponen atau pangkat.
Source: soalujian-73.blogspot.com
Materi yang perlu kamu siapkan untuk menghadapi UTBK salah satunya adalah yang berkaitan dengan eksponen dan logaritma. 14SOAL LATIHAN PEMBAHASAN EKSPONEN DAN LOGARITMA. Latihan soal un matematika Fungsi Eksponen dan Logaritma. Pertidaksamaan Logaritma Pengertian Rumus Dan Contohnya from passinggradecoid.
Source: detiks.github.io
Kalau kita membahas topik soal UN Matematika SMA pada indikator soal tentang grafik fungsi eksponen atau logaritma mutlak kita harus paham tentang sifat dan aturan eksponen atau 7 1 4. Nilai x yang memenuhi persamaan 4 x1 8 x-1 adalah. Jika ingin mempelajari materi ini lebih dalam kamu bisa menyimak penjelasannya berikut. Diketahui a A.
Eksponen dan Logaritma SIMAK UI 14 KD1 18 Jika maka.
Maka nilai dari 8. Bentuk pangkat bulat positif dari adalah. 0 a 1 k. Jika af x bf x maka f x 0 4. Soal Latihan Eksponen Dan Logaritma.
Source: encrypted-tbn0.gstatic.com
Materi ini berisi persamaan dan pertidaksamaan eksponen serta logaritma. Soal Latihan Eksponen Dan Logaritma. Jika h xf x h xg x maka. Latihan soal un matematika Fungsi Eksponen dan Logaritma. Matematikastudycenter-Kumpulan soal ujian nasional matematika SMA materi fungsi eksponen dan fungsi logaritma dari tahun 2007 hingga 2011 dan 2012 2013 2014 tercakup indikator menyelesaikan pertidaksamaan eksponen atau logaritma dan menyelesaikan masalah yang berkaitan dengan fungsi eksponen atau fungsi logaritma inversnya grafik persamaan dan.
Soal Latihan Eksponen Dan LogaritmaBentuk a n disebuat sebagai bentuk eksponensial atau perpangkatan dengan a disebut basis atau bilangan pokok dan n disebut eksponen atau pangkat.
14SOAL LATIHAN PEMBAHASAN EKSPONEN DAN LOGARITMA. Soal Latihan Eksponen Dan LogaritmaBentuk a n disebuat sebagai bentuk eksponensial atau perpangkatan dengan a disebut basis atau bilangan pokok dan n disebut eksponen atau pangkat. 0 dan g x. Eksponen dan Logaritma SIMAK UI 14 KD1 18 Jika maka.
Source: detiks.github.io
0 dan a k Real Langkah-langkah melukis grafik fungsi eksponen. 4 1 3 1 3 a b4 c 2 b 16 dan c 4. Jika af x ap maka f x p 2. 1 PERSAMAAN DAN FUNGSI EKSPONEN SERTA LOGARITMA.
Source: brainly.co.id
Diketahui a A. 1 PERSAMAAN DAN FUNGSI EKSPONEN SERTA LOGARITMA. Soal Latihan Eksponen Dan LogaritmaBentuk a n disebuat sebagai bentuk eksponensial atau perpangkatan dengan a disebut basis atau bilangan pokok dan n disebut eksponen atau pangkat. Soal dan pembahasan matematika logaritma 1 6 kumpulan soal dan pembahasan logaritma persamaan logaritma persamaan bentuk pangkat persamaan eksponen.
Source: qanda.ai
0 a 1 k. Dengan merasionalkan penyebut bentuk sederhana dari adalah. Materi ini berisi persamaan dan pertidaksamaan eksponen serta logaritma. Dengan merasionalkan penyebut bentuk sederhana dari adalah.
Nilai dari 2 log 3 2 log 6 2 log 8.
Dengan merasionalkan penyebut bentuk sederhana dari adalah. Kalau kita membahas topik soal UN Matematika SMA pada indikator soal tentang grafik fungsi eksponen atau logaritma mutlak kita harus paham tentang sifat dan aturan eksponen atau 7 1 4. Pertidaksamaan Logaritma Pengertian Rumus Dan Contohnya from passinggradecoid. Latihan soal un matematika Fungsi Eksponen dan Logaritma. Yang menyusahkan dalam soal limit adalah.
Source: zenius.net
Kalau kita membahas topik soal UN Matematika SMA pada indikator soal tentang grafik fungsi eksponen atau logaritma mutlak kita harus paham tentang sifat dan aturan eksponen atau 7 1 4. Latihan Matematika Berlatih membuat kita lebih memahami. Rumus Persamaan Eksponen. Bentuk pangkat bulat positif dari adalah. Pertidaksamaan Logaritma Pengertian Rumus Dan Contohnya from passinggradecoid.
Jika af x ap maka f x p 2.
Jika ingin mempelajari materi ini lebih dalam kamu bisa menyimak penjelasannya berikut. Ternyata untuk x maka y dan untuk x ternyata y 0. Dengan merasionalkan penyebut bentuk sederhana dari adalah. C h x 0 untuk f x.
Source: teamhannamy.blogspot.com
C 7 2 49. Eksponen dan Logaritma SIMAK UI 14 KD1 18 Jika maka. Dalam keseharian materi persamaan eksponenen dan logaritma dapat digunakan untuk melatih dan menguji ingatan seseorang terhadap sesuatu. Materi yang perlu kamu siapkan untuk menghadapi UTBK salah satunya adalah yang berkaitan dengan eksponen dan logaritma. 0 dan a k Real Langkah-langkah melukis grafik fungsi eksponen.
Source: soalujian-73.blogspot.com
Di halaman ini kamu bisa melatih kemampuanmu dengan menjawab latihan soal dan kamu juga bisa memahami pembahasan soal yang dijelaskan secara yang runtut dan. Nilai dari 2 log 3 2 log 6 2 log 8. Dengan merasionalkan penyebut bentuk sederhana dari adalah. Matematikastudycenter-Kumpulan soal ujian nasional matematika SMA materi fungsi eksponen dan fungsi logaritma dari tahun 2007 hingga 2011 dan 2012 2013 2014 tercakup indikator menyelesaikan pertidaksamaan eksponen atau logaritma dan menyelesaikan masalah yang berkaitan dengan fungsi eksponen atau fungsi logaritma inversnya grafik persamaan dan. 0 dan g x.
Source: sarangsoalsiswa.blogspot.com
Materi ini berisi persamaan dan pertidaksamaan eksponen serta logaritma. Soal Latihan Eksponen Dan LogaritmaBentuk a n disebuat sebagai bentuk eksponensial atau perpangkatan dengan a disebut basis atau bilangan pokok dan n disebut eksponen atau pangkat. Latihan soal un matematika Fungsi Eksponen dan Logaritma. Materi ini berisi persamaan dan pertidaksamaan eksponen serta logaritma. Kalau kita membahas topik soal UN Matematika SMA pada indikator soal tentang grafik fungsi eksponen atau logaritma mutlak kita harus paham tentang sifat dan aturan eksponen atau 7 1 4.
Situs ini adalah komunitas terbuka bagi pengguna untuk menuangkan apa yang mereka cari di internet, semua konten atau gambar di situs web ini hanya untuk penggunaan pribadi, sangat dilarang untuk menggunakan artikel ini untuk tujuan komersial, jika Anda adalah penulisnya dan menemukan gambar ini dibagikan tanpa izin Anda, silakan ajukan laporan DMCA kepada Kami.
Jika Anda menemukan situs ini lengkap, tolong dukung kami dengan membagikan postingan ini ke akun media sosial seperti Facebook, Instagram dan sebagainya atau bisa juga bookmark halaman blog ini dengan judul latihan soal eksponen dan logaritma dengan menggunakan Ctrl + D untuk perangkat laptop dengan sistem operasi Windows atau Command + D untuk laptop dengan sistem operasi Apple. Jika Anda menggunakan smartphone, Anda juga dapat menggunakan menu laci dari browser yang Anda gunakan. Baik itu sistem operasi Windows, Mac, iOS, atau Android, Anda tetap dapat menandai situs web ini.





