Segitiga istimewa 3 4 5.
Jika kamu mencari artikel segitiga istimewa 3 4 5 terlengkap, berarti kamu sudah berada di blog yang benar. Yuk langsung saja kita simak penjelasan segitiga istimewa 3 4 5 berikut ini.
Contoh Soal Teorema Pythagoras Pada Sisi Sisi Segitiga Siku Siku Contoh Soal From contohsoalku.wordpress.com
5 akan membentuk segitiga dengan sudut 53 o dan 37 oDi mana sisi terpanjang merupakan bagian sisi segitiga yang menghadap sudut. Sudut-sudut istimewa tersebut adalah 30 o 45 o dan 60 o. Jika Anda dapat menemukan. 9272016 Segitiga siku-siku istimewa adalah segitiga siku-siku yang sudut-sudutnya merupakan sudut istimewa.
Segitiga istimewa yang pertama adalah segitiga siku-siku yang sama kaki.
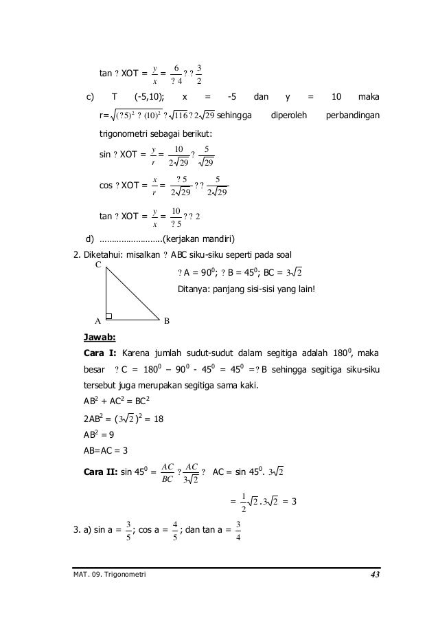
Peserta didik memperhatikan dan mengamati buku siswa dan bahan ajar yang diberikan guru bahan ajar berisi mengkreasi potongan potongan bentuk segitempat dan segitiga alternatif penyelesaian menentukan banyaknya segiempat dan segitiga 3. Hitung AB jika AC 8 dan BC 6 5. 10182020 Segitiga Siku Siku dengan Sudut Istimewa 37 o dan 53 o. Untuk setiap segitiga siku b c c2 b2 iii Gambar 53. PERBANDINGAN TRIGONOMETRI DI BERBAGAI KUADRAN Sudut di Kuadran I Sin bernilai Cos bernilai Tan bernilai 900 1800 00 900 Sudut di Kuadran II β.
Source: qanda.ai
12152016 Pahami kaidah 3-4-5. 4292019 Klarifikasi Masalah 1. Siapkan peralatan berikut untuk menggambar segitiga. Segitiga siku-siku istimewa 3. Segitiga Sama Kaki adalah segitiga yang mempunyai dua sisi yang kongruen.
252013 SUDUT ISTIMEWA DIPEROLEH DARI Perbandingan trigonometri sisi-sisi segitiga siku-siku Sudut Istimewa segitiga siku-siku yaitu.
PERBANDINGAN TRIGONOMETRI DI BERBAGAI KUADRAN Sudut di Kuadran I Sin bernilai Cos bernilai Tan bernilai 900 1800 00 900 Sudut di Kuadran II β. Pada segitiga ABC CD merupakan garis berat. Guru membagi peserta didik menjadi beberapa kelompok yang terdiri 4-5 orang 2. Teorema Pada Segitiga 5.
Source: brainly.co.id
Bilangan-bilangan 3 4 dan 5 serta 6 8 dan 10 merupakan. Contohnya jika sebuah segitiga siku-siku dua sisi yang menyikunya mempunyai panjang 3 satuan dan 4 satuan maka kuadrat sisi terpanjangnya adalah 3 2 4 2 25. Segitiga siku-siku ABC dengan siku-siku di titik A dengan panjang AB 3 cm BC 4 cm dan AC 5 cm. Segitiga istimewa yang pertama adalah segitiga siku-siku yang sama kaki.
Source: id.wikihow.com
Garis tinggi AD dan BE berpotongan di titik T. 5 akan membentuk segitiga dengan sudut 53 o dan 37 oDi mana sisi terpanjang merupakan bagian sisi segitiga yang menghadap sudut. Jika sebuah segitiga memiliki sisi-sisi berukuran 3 4 dan 5 meter atau satuan lain apa pun segitiga tersebut haruslah sebuah segitiga siku-siku dengan sebuah sudut 90. 12152016 Pahami kaidah 3-4-5.
Source: mathematics4us.com
Siapkan peralatan berikut untuk menggambar segitiga. Lukis garis AB dengan panjang 3 cm. 4292019 Klarifikasi Masalah 1. AD dan BE adalah garis tinggi.
Segitiga istimewa merupakan segitiga yang memiliki sifat-sifat khusus istimewa baik mengenai hubungan panjang sisi-sisinya maupun hubungan besar sudut-sudutnya. PERBANDINGAN TRIGONOMETRI DI BERBAGAI KUADRAN Sudut di Kuadran I Sin bernilai Cos bernilai Tan bernilai 900 1800 00 900 Sudut di Kuadran II β. Pada segitiga ABC CD merupakan garis berat. Pada kesempatan sebelumnya telah dibahas bagaimana.
Kita mendapatkan bahwa segitiga siku-siku tersebut mempunyai sisi 3 4 dan 5 satuan.
AD 12. Segitiga ini juga sering disebut sebagai segitiga siku-siku 45. Lukis garis AB dengan panjang 3 cm. 4292019 Klarifikasi Masalah 1. 10182020 Segitiga Siku Siku dengan Sudut Istimewa 37 o dan 53 o.
Source: youtube.com
Segitiga Sama Sisi adalah segitiga yang mempunyai tiga sisi yang kongruen. AD dan BE adalah garis tinggi. 252013 SUDUT ISTIMEWA DIPEROLEH DARI Perbandingan trigonometri sisi-sisi segitiga siku-siku Sudut Istimewa segitiga siku-siku yaitu. Dalam dalil Phytagoras melibatkan bilangan kuadrat dan akar. 4292019 Klarifikasi Masalah 1.
Sudut-sudut istimewa tersebut adalah 30 o 45 o dan 60 o. AD 73 cm. Teorema Pada Segitiga 5. Hitunglah luas segitiga CDE.
Teman-teman pelajari petunjuk ini ya untuk mengerjakan PR kalian tentang menggambar segitiga istimewa.
Dalam segitiga ABC panjang sisi AB 4 cm BC 7cm dan AC 8cm. Dari titik C pada segitiga ABC ditarik garis memotong sisi AB di titik D sehingga AD 6 dan DB 3. Segitiga siku-siku yang memiliki sudut 45 o disebut juga segitiga siku-siku sama kaki karena terdapat dua sisi yang panjangnya sama. Jika sebuah segitiga memiliki sisi-sisi berukuran 3 4 dan 5 meter atau satuan lain apa pun segitiga tersebut haruslah sebuah segitiga siku-siku dengan sebuah sudut 90.
Source: id.wikihow.com
Sekian pembahasan kita mengenai sudut istimewa segitiga jika ada pertanyaan tentang sudut istimewa segitiga bisa ditanyakan di kolom komentar di bawah ini Semoga bermanfaat. Teorema Pada Segitiga 5. Berapakah perbandingan panjang ATTD. AD dan BE adalah garis berat suatu segitiga ABC.
Source: mathematics4us.com
Segitiga Sama Sisi adalah segitiga yang mempunyai tiga sisi yang kongruen. Buku ringkasan materi mgmp matematika smp kabupaten pati. Segitiga istimewa yang pertama adalah segitiga siku-siku yang sama kaki. Sudut-sudut istimewa tersebut adalah 30 o 45 o dan 60 o.
Source: qanda.ai
Jika sebuah segitiga memiliki sisi-sisi berukuran 3 4 dan 5 meter atau satuan lain apa pun segitiga tersebut haruslah sebuah segitiga siku-siku dengan sebuah sudut 90. 6172020 di misalkan AC a AD 12a3. Segitiga istimewa merupakan segitiga yang memiliki sifat-sifat khusus istimewa baik mengenai hubungan panjang sisi-sisinya maupun hubungan besar sudut-sudutnya. 5 akan membentuk segitiga dengan sudut 53 o dan 37 oDi mana sisi terpanjang merupakan bagian sisi segitiga yang menghadap sudut.
AD dan BE adalah garis berat suatu segitiga ABC.
Sudut-sudut istimewa tersebut adalah 30 o 45 o dan 60 o. Segitiga siku-siku ABC dengan siku-siku di titik A dengan panjang AB 3 cm BC 4 cm dan AC 5 cm. Aziz effedhi spd msi. Kita mendapatkan bahwa segitiga siku-siku tersebut mempunyai sisi 3 4 dan 5 satuan. Sudut-sudut istimewa tersebut adalah 30 o 45 o dan 60 o.
Source: slideshare.net
Jika sebuah segitiga memiliki sisi-sisi berukuran 3 4 dan 5 meter atau satuan lain apa pun segitiga tersebut haruslah sebuah segitiga siku-siku dengan sebuah sudut 90. 6172020 di misalkan AC a AD 12a3. Bilangan-bilangan 3 4 dan 5 serta 6 8 dan 10 merupakan. Sekian pembahasan kita mengenai sudut istimewa segitiga jika ada pertanyaan tentang sudut istimewa segitiga bisa ditanyakan di kolom komentar di bawah ini Semoga bermanfaat. Dalam dalil Phytagoras melibatkan bilangan kuadrat dan akar.
Segitiga ini juga sering disebut sebagai segitiga siku-siku 45.
Segitiga ini juga sering disebut sebagai segitiga siku-siku 45. Pada kesempatan sebelumnya telah dibahas bagaimana. Segitiga Sama Sisi adalah segitiga yang mempunyai tiga sisi yang kongruen. AD dan BE adalah garis tinggi.
Source: slideshare.net
AD dan BE adalah garis berat suatu segitiga ABC. Sekian pembahasan kita mengenai sudut istimewa segitiga jika ada pertanyaan tentang sudut istimewa segitiga bisa ditanyakan di kolom komentar di bawah ini Semoga bermanfaat. 252013 SUDUT ISTIMEWA DIPEROLEH DARI Perbandingan trigonometri sisi-sisi segitiga siku-siku Sudut Istimewa segitiga siku-siku yaitu. Di antara sisi-sisi pendeknya.
Source: id.wikihow.com
Segitiga istimewa merupakan segitiga yang memiliki sifat-sifat khusus istimewa baik mengenai hubungan panjang sisi-sisinya maupun hubungan besar sudut-sudutnya. Aziz effedhi spd msi. Teorema Pada Segitiga 5. AD dan BE adalah garis berat suatu segitiga ABC.
Source: youtube.com
12152016 Pahami kaidah 3-4-5. Sisi miring 1. Segitiga siku-siku ABC dengan siku-siku di titik A dengan panjang AB 3 cm BC 4 cm dan AC 5 cm. Pada segitiga siku siku perbandingan antara di video ini kami menerangkan tentang perbandingan segitiga istimewa 306090 dan sudut 4545.
Segitiga siku-siku ABC dengan siku-siku di titik A dengan panjang AB 3 cm BC 4 cm dan AC 5 cm.
Sisi miring 1. Langkah-langkah menggambar segitiga siku-siku. Segitiga Sama Kaki adalah segitiga yang mempunyai dua sisi yang kongruen. Berapakah perbandingan panjang ATTD. Hitung AB jika AC 8 dan BC 6 5.
Source: idschool.net
Lukis garis AB dengan panjang 3 cm. Pada segitiga ABC CD merupakan garis berat. Jika Anda dapat menemukan. Guru membagi peserta didik menjadi beberapa kelompok yang terdiri 4-5 orang 2. 232021 Jadi perbandingan segitiga istimewa dengan sudut 30 90 60.
Kedua garis berat ini saling tegak lurus.
Langkah-langkah menggambar segitiga siku-siku. Segitiga tersebut di sudut kamar Anda tahu sudut tersebut adalah siku-siku. Teman-teman pelajari petunjuk ini ya untuk mengerjakan PR kalian tentang menggambar segitiga istimewa. Jika Anda dapat menemukan.
Source: d1ahk.blogspot.com
Dalam segitiga ABC panjang sisi AB 4 cm BC 7cm dan AC 8cm. Pada kesempatan sebelumnya telah dibahas bagaimana. 5 akan membentuk segitiga dengan sudut 53 o dan 37 oDi mana sisi terpanjang merupakan bagian sisi segitiga yang menghadap sudut. Hitung AB jika AC 8 dan BC 6 5. Di antara sisi-sisi pendeknya.
Source: slidetodoc.com
Teman-teman pelajari petunjuk ini ya untuk mengerjakan PR kalian tentang menggambar segitiga istimewa. Pada kesempatan sebelumnya telah dibahas bagaimana. Pada segitiga siku siku perbandingan antara di video ini kami menerangkan tentang perbandingan segitiga istimewa 306090 dan sudut 4545. Sebuah segitiga ABC dengan AB 8 cm BC 9cm dan AC 7cm. Hitung AB jika AC 8 dan BC 6 5.
Source: brainly.co.id
10102012 Pada pembahasan kali ini akan digunakan Teorema Pythagoras untuk menemukan hubungan antara sisi-sisi dua segitiga istimewa. AD dan BE adalah garis berat suatu segitiga ABC. Lukis garis AB dengan panjang 3 cm. Aziz effedhi spd msi. Teorema Pada Segitiga 5.
Situs ini adalah komunitas terbuka bagi pengguna untuk mencurahkan apa yang mereka cari di internet, semua konten atau gambar di situs web ini hanya untuk penggunaan pribadi, sangat dilarang untuk menggunakan artikel ini untuk tujuan komersial, jika Anda adalah penulisnya dan menemukan gambar ini dibagikan tanpa izin Anda, silakan ajukan laporan DMCA kepada Kami.
Jika Anda menemukan situs ini lengkap, tolong dukung kami dengan membagikan postingan ini ke akun media sosial seperti Facebook, Instagram dan sebagainya atau bisa juga simpan halaman blog ini dengan judul segitiga istimewa 3 4 5 dengan menggunakan Ctrl + D untuk perangkat laptop dengan sistem operasi Windows atau Command + D untuk laptop dengan sistem operasi Apple. Jika Anda menggunakan smartphone, Anda juga dapat menggunakan menu laci dari browser yang Anda gunakan. Baik itu sistem operasi Windows, Mac, iOS, atau Android, Anda tetap dapat menandai situs web ini.




